超伝導体を用いた熱ダイオードを開発
1.概要
電子デバイスなどの高性能化のために、熱流を自在に操るサーマルマネージメント技術が世界中で開発されています。例えば、熱伝導率[1]を大幅に変化させ、熱の流れやすさを制御できる「熱スイッチング材料」[2]の開発が進められています。本研究チームにおいても超伝導体[3]における超伝導転移での大幅な熱伝導率変化を利用した磁気熱スイッチング技術[4]の開発を進めてきました。
本研究のテーマである熱ダイオード[5]も、熱制御技術の一つであり、材料に温度差を与えた場合に、熱の流れやすさが順方向と逆方向によって大きく異なることを利用した熱整流を可能にします。一般的なダイオードは電流の整流を行うのに対して、熱ダイオードは熱流の整流を行います。超伝導体を用いた熱ダイオードは理論的に提案されていましたが、超伝導体と常伝導体のバルク接合において実験的に明確な熱整流が観測された報告はありませんでした。
東京都立大学大学院理学研究科物理学専攻の水口佳一准教授、Poonam Rani特任研究員、増子優幸大学院生、東京大学大学院新領域創成科学研究科物質系専攻の平田圭佑助教、内田健一教授(兼 物質・材料研究機構(NIMS)上席グループリーダー)の研究チームは、高純度の鉛(Pb)とアルミニウム(Al)の線をハンダ接合し、Pbの超伝導転移温度[3](7.2 K [6])以下の温度域で熱整流を観測しました。磁場中において、Pb線の熱伝導率は超伝導転移温度で急激に低下します。一方、Alは2 K以上の温度域で超伝導を示さないため、常に高熱伝導率を保ちます。接合中央の温度がPbの超伝導転移温度近傍であり、Pb線が高温側にある場合とAl線が高温側にある場合では、前者の方が高い熱伝導を示します。今回の実験では、最大で1.75倍の整流比が生じ、明確な熱整流の観測に至りました。
今後、材料の組み合わせや長さ比の最適化、さらには熱ダイオード形状の最適化によってさらに高い整流比が得られれば、低温機器等で活躍するサーマルマネージメント技術となることが期待されます。
本研究成果は、10月20日(現地時間)付けでWileyが発行する英文誌Advanced Physics Researchに発表されました。本研究の一部は、JST戦略的創造研究推進事業ERATO「内田磁性熱動体プロジェクト」(研究総括:内田健一、課題番号:JPMJER2201)および東京都立大学若手研究者等選抜型研究支援(研究代表:水口佳一)の支援を受けて行われました。
熱ダイオードのイメージ図。超伝導体が低温側にあり、有効熱伝導率が低く熱を通しにくい状態。
2.ポイント
・高純度のPb線(超伝導体)とAl線(2 K以上で常伝導体)をハンダ接合することで、熱ダイオードを作製。
・超伝導状態は熱伝導率が低く、常伝導状態は熱伝導率が高いことを利用。
・磁場の印加により熱整流比が最大化する温度域を制御できる。
・研究の新規性・技術的な工夫・実験結果・応用可能性がバランスよく表記されていますが、最後のポイントを1 K程度の小さな温度差でも熱整流が可能であり、低温機器への応用が期待される。
3.研究の背景
様々なデバイスの高性能化・集積化に伴い、熱流を自在に制御するサーマルマネージメント技術の開発が求められています。例えば、熱流のON-OFFを熱伝導率の大きさの変化によって達成する熱スイッチ材料や、熱流方向によって熱の流れやすさを整流する熱ダイオード材料の開発が進められています。
金属が超伝導転移した場合、熱伝導率が大幅に低下するため、熱スイッチ材料となることは知られていました。本研究チームも、高純度Pb線の磁場中熱伝導率測定を精密に行うことで、超伝導状態の低熱伝導率と常伝導状態の高熱伝導率の磁気熱スイッチング比が20倍以上に達することを報告するなど、超伝導体を用いた熱制御技術の開発を進めてきました。
一方、超伝導体を用いた熱ダイオードは2013年にGiazottoらによって理論的に提案されていましたが、超伝導体-常伝導体接合において実験的に明確な熱整流が観測された報告はありませんでした。その原因の一つは、超伝導転移温度や臨界磁場[3]において急激な熱伝導率変化を示す超伝導体は限られており、バルクスケールの試料で実際に熱伝導測定を行い、熱整流を確認することが難しかったためです。
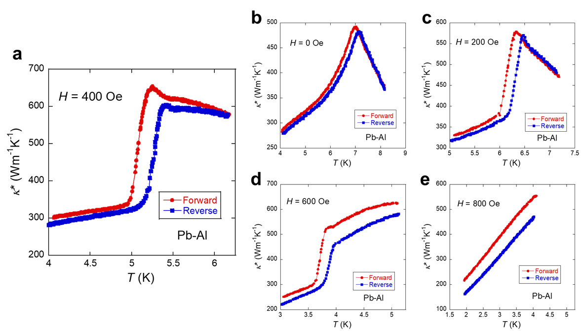
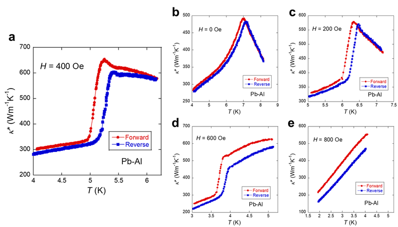
そこで本研究では、上述の高純度Pb線(純度:5N = 99.999%)が示す巨大な磁気熱スイッチングを利用し、またPb線の長さ方向(熱流方向)に平行に磁場を印加した際の急峻な変化(図1(a)の青四角シンボルが磁場H = 400 Oe[7]での熱伝導率)を利用することで、熱ダイオード設計を行いました。
図1. (a)Pb線(純度:5N)と(b)Al線(純度:5N)の磁場中での熱伝導率の温度依存性。
4.研究の詳細
本研究では、高純度(5N)のPb線とAl線をSn-Pbハンダで接合し、有効熱伝導率(κ*)[8]を測定しました。図2(a)に測定セットアップ(順方向)を示します。ヒーターで温度差を生じさせ、温度差と熱流量から有効熱伝導率の温度依存性を測定しました。例えば、接合の中央がPbの超伝導転移温度(H = 0 Oeで7.2 K、H = 400 Oeで5.2 Kのように磁場印加で低下する)のとき、図2(b)に示す通り順方向測定ではPb線も常伝導状態のため高い有効熱伝導率を示します。一方、逆方向の場合はPb線が超伝導状態となるため、有効熱伝導率が低くなります。この違いを利用することで熱整流が実現します。
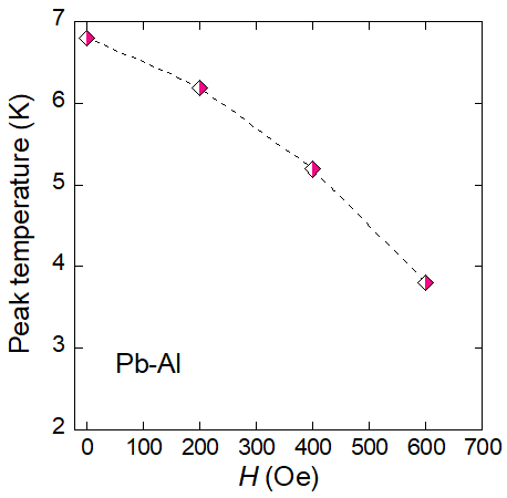
図3は各磁場での有効熱伝導率の温度依存性を示しており、特にH = 400 Oeにおいて順方向と逆方向の有効熱伝導率差(Δκ*)が最大値となりました。そこで、Δκ*と熱整流比(TRR)[9]を評価し、その温度依存性を図4に示しました。Δκ*もTRRもある特定の温度域で最大化し、ピーク構造を示すことがわかります。図5にピーク温度の磁場依存性をプロットしました。ここから、TRRを最大化する温度は磁場によって制御できることがわかります。すなわち、本研究の熱ダイオードをある温度差の環境で動作させる場合、最適な磁場を印加することで熱整流効率を最大化できるということです。
また、制御に用いる磁場が数百Oeという弱い磁場(一般的なフェライト磁石の1/10程度)であることも応用上のメリットといえます。現時点では動作温度はPbの超伝導転移温度以下に限られていますが、様々な超伝導体との組み合わせを検討することで、動作温度の上昇や熱整流特性の向上を目指します。
図2. (a) 有効熱伝導測定(順方向)の際のセットアップ。順方向測定の後に逆方向測定を行うため、端子を4つ設け、一つは各測定で不使用としました。 (b) 順方向と逆方向の熱の流れやすさの違いのイメージ図。
図3. 各磁場中での有効熱伝導率(κ*)の温度依存性。順方向(Forward)と逆方向(Reverse)の両データをプロットしている。印加磁場はH = (a) 400 Oe, (b) 0 Oe, (c) 200 Oe, (d) 600 Oe, (e) 800 Oe。H = 400 Oeの時に最大の熱整流が見られた。
図4. 順方向と逆方向の有効熱伝導率差(Δκ*)と熱整流比(TRR)の温度依存性。印加磁場はH = (a,f) 0 Oe, (b,g) 200 Oe, (c,h) 400 Oe, (d,i) 600 Oe, (e,j) 800 Oe。H = 400 Oeの時に最大の熱整流が見られた。
図5. TRRが最大になるピーク温度の磁場依存性。
5.研究の意義と波及効果
本研究では、2013年に理論的に提案されていたものの、熱整流を実測した例のなかった、超伝導体-常伝導体バルク接合において、明確な熱整流を観測しました。今後、様々な材料の組み合わせや形状の検討を行うことで、さらなる整流比の向上が達成されます。また、わずかな磁場の印加によって動作温度を最適化できることから、様々な温度差環境での高効率動作が可能です。今後、さらなる熱ダイオード開発が進むことで、低温で動作する電子デバイスの高性能化に貢献することが期待されます。
(用語解説)
[1]熱伝導率
物質の熱の伝えやすさを示す物理量で、熱伝導率が高いほど、熱を通しやすい。本研究では試料の一端に熱を与え、試料中の温度勾配を測定する定常法を用いて測定を行った。
[2]熱スイッチング材料
熱伝導率の大きさが外場の印加などによって変化する材料。外場として、磁場や電場があげられる。
[3]超伝導、超伝導転移温度、臨界磁場
低温で生じる量子現象であり、電気抵抗の消失、完全反磁性など特徴的な性質を示す。物質が超伝導状態に転移する温度を超伝導転移温度と呼び、超伝導状態が消失する磁場を臨界磁場と呼ぶ。超伝導状態では、電子がクーパー対(電子対)を形成し、電子キャリアが担っていた熱伝導が大幅に抑制される。
[4]磁気熱スイッチング技術
磁場の印加や磁化の方向によって熱スイッチングを生じさせること。磁化とは、物質が外部磁場の影響で磁石の性質を得ること。
[5]熱ダイオード
材料に温度差を与えたときに、熱流の方向によって熱の流れやすさが異なり、熱整流効果を生じさせることができる材料のこと。
[6]K(ケルビン)
絶対温度の単位。0℃は約273 Kである。
[7]Oe(エルステッド)
磁場の強さをあらわすCGS電磁単位。
[8]有効熱伝導率(κ*)
本研究では異種金属の接合試料を測定しているため、物質特有の物理量である熱伝導率と区別するために、有効熱伝導率と定義した。測定自体は通常の熱伝導率測定と同様の測定を行った。
[9] 熱整流比(TRR: Thermal Rectification Ratio)
順方向と逆方向の熱伝導特性の差を比率で表したもの。本研究では、順方向の有効熱伝導率(κF*)と逆方向の有効熱伝導率(κR*)から、TRR = κF*/κR*の式を用いて算出した。
(論文情報)
タイトル:Magneto-Tunable Thermal Diode Based on Bulk Superconductor
著者: Poonam Rani, Masayuki Mashiko, Keisuke Hirata, Ken-ichi Uchida, Yoshikazu Mizuguchi(責任著者)
掲載誌:Advanced Physics Research
DOI:10.1002/apxr.202500080
本プレスリリースは発表元が入力した原稿をそのまま掲載しております。また、プレスリリースへのお問い合わせは発表元に直接お願いいたします。
このプレスリリースには、報道機関向けの情報があります。
プレス会員登録を行うと、広報担当者の連絡先や、イベント・記者会見の情報など、報道機関だけに公開する情報が閲覧できるようになります。
このプレスリリースを配信した企業・団体
- 名称 東京都公立大学法人
- 所在地 東京都
- 業種 大学
- URL https://www.houjin-tmu.ac.jp/
過去に配信したプレスリリース
ポリエステルを化学原料に完全変換可能な高性能鉄触媒の開発
11/14 14:00
高安定・高伝導を両立!イオンネットワークで描く次世代電池材料の原理
11/11 14:00
私がAIITを選んだ理由 在学生・修了生インタビューをHP、YouTubeで公開
11/7 16:30
AIIT教員陣が語る、技術とデザインを通じた価値創造
10/31 14:30
細胞同士がつながっちゃう?丈夫なトンネルナノチューブを作る新たなメカニズム
10/24 14:00
東京都立産業技術高等専門学校は、 BBIX株式会社・ソフトイーサ株式会社と産学連携協定を締結
10/23 14:00
超伝導体を用いた熱ダイオードを開発
10/21 14:00
アルツハイマー病の鍵を握る“可逆的な前駆体”を発見 ― タウ凝集予防の新たな標的 ―
10/16 14:00





