泡は塗れる?滑る? 泡のコーティングメカニズムを解明
1.概要
泡(注1)は食品や洗剤、化粧品、消火剤など我々の日常の様々な場面で利用されています。食器を洗浄する時や建造物の間に断熱泡沫を挿入するときなど、我々はよく泡を塗り広げて使っています。プラスチック容器を洗浄する時、泡は滑りやすく塗り広げにくいなど、経験的に塗り広げ条件を見つけていることが多く、実際にどのような条件で塗り広げられ、その条件が何で決まっているのかについては解明されていませんでした。
東京都立大学大学院理学研究科物理学専攻の遠藤雅也(大学院生)、栗田玲教授らの研究グループは、板によって泡沫が基板に塗り広げられる挙動を観察し、滑っている条件や塗り広げられている条件における泡の内部構造の変化を調べました。塗り広げられている時には、泡の中の気泡が動いていることが観察され、この運動が周囲に伝播していることがわかりました。さらに、この挙動は有向パーコレーション(注2)理論で説明できることがわかりました。
このような泡の塗り広げ挙動の解明は泡やマヨネーズの効率的なコーティングなどの応用が期待されます。また、外部刺激による滑りとコーティングのスイッチング制御が可能なことがわかりました。本研究成果は、細胞、赤血球などのソフトジャミング系の運動を理解する上でも重要な発見で、学術的な貢献が期待できます。
■本研究成果は、4月4日付けでAmerican Physical Societyが発行する英文誌Physical Review Researchに発表されました。本研究の一部は、学術振興会科学研究費補助金(基盤B No. 20H01874)およびJST次世代研究者挑戦的プログラム(JPMJSP2156)の支援を受けて行われました。
2.ポイント
1.泡がどのような条件で塗り広げられるのかを知ることは重要な課題でした。
2.板によって泡が塗り広げるとき、内部の気泡が移動し、それが伝播することを発見しました。
3.有向パーコレーション理論によって泡の塗り広げが説明できることを発見しました。
4.外部刺激による滑りとコーティングのスイッチング制御が可能なことがわかりました。
5.細胞、赤血球などのソフトジャミング系の運動の理解という学術的な貢献が期待できます。
3.研究の背景
泡は日常でよく見ることのできる状態で、断熱性や物質輸送の遮蔽性に優れ、また、油や微粒子を内部に吸収する性質があります。そのため、食品や洗剤、化粧品、消火剤などに利用されています。このように日常の様々な場面で利用されているにもかかわらず、泡が示す性質や現象については解明されていないことが多くあります。その例として、我々は何かを洗浄する際によく泡沫を塗り広げていますが、プラスチック容器を洗う時には泡が滑ってしまい、塗り広げられないこともあります。そのような時、我々は経験的に素早く手をうごかして塗り広げますが、このように塗り広げられる泡の挙動や形成されるパターンやどのようなパラメータが塗り広げられる泡の挙動に影響を与えるのかといった物理的条件やメカニズムについてはこれまで解明されていませんでした。
我々の先行研究では、撥水性の高い基板上で塗り広げる場合、塗り広げる速度に応じて3種類の塗り広げ挙動があることが観察されています。(参考(1))。塗り広げる速度が小さい領域では、泡の初期幅と同じ程度の幅で塗り広げられます(パターン1)。塗り広げる速度が中間領域では、泡は塗り広げられず、アクリル板に押されて基板上を薄い液膜を形成しながら滑っていくようになります(パターン2)。さらに速度を大きくすると、泡は再び塗り広げられるようになります(パターン3)。このとき形成されるパターンはパターン1とは異なり、初期幅よりも狭い幅でまっすぐに塗り広げられます。このパターン2とパターン3が決まる条件についてわかっていませんでした。
そこで今回は、板によって基板上に塗り広げられる泡沫の様子を直接観察し、塗り広げられる泡沫の構造変化、パターン変化のメカニズムの解明を目指しました。
4.研究の詳細
本研究グループは界面活性剤溶液から市販の泡ポンプによって泡を生成しました。泡内の気泡の平均サイズは約200μm、液体分率(注3)は約10%です。図1に示すように、この泡を基板上に乗せ、基板を速度Uで動かすことで、固定したアクリル板によって、塗り広げられます。速度Uやアクリル板の幅L、アクリル板と基板とのギャップ幅b、泡沫のサイズWを変えて、塗り広げ挙動を網羅的に調べました。
L, b, Wを変えて実験をしたところ、スリップ(パターン2)と塗り広げ(パターン3)の境界はL, b, Wのすべてに依存することがわかりました。単純液体の塗り広げであれば、bにしか依存しないので、泡は液体の挙動とは大きく異なることがわかります。図2は横軸を板下の体積bLWにしたときの状態図を示しています。異なるbLWの組み合わせ、例えば、(b , L, W) = (1.5 mm,5.0 mm, 20 mm), (1.0 mm, 5.0 mm, 30 mm), (2.0 mm, 5.0 mm, 25 mm)の条件でも境界速度が14 mm/sと同じになりました。このことから板下の体積が重要であることがわかりました。
次に、よく観察してみると、スリップ領域においても部分的に泡が溢れ出し、塗り広げられることを見出しました。この部分的に塗り広げられていることに注目し、泡の内部構造の変化を調べました。図3はスリップ領域において、部分的な塗り広げが起こる直前の様子を撮影したものです。スリップしているときは、泡内部の気泡の位置関係はまったく変わりません。ある時刻の部分塗り広げの直前において、赤で示された気泡が何かしらのきっかけによって動き出します。その後、赤の周囲の気泡が動き出し(青で示された気泡)、それが次々と前後に伝播し、最終的には板下から抜け出し、部分的な塗り広げになることがわかりました。その後、そのような伝播は収まり、スリップ状態に戻る様子が観察されました。
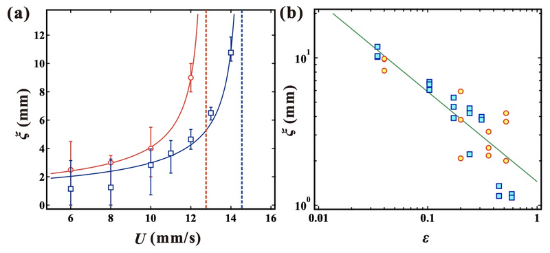
また、このような部分的な塗り広げの長さが、塗り広げ速度に依存していることがわかりました。図4(a)は部分的な塗り広げ長さの速度依存性を示したものです。境界速度に向かって、塗り広げ長が発散的に長くなっていることがわかりました。そこで、横軸を無次元化した速度ϵ=(Uc-U)/Ucで長さをプロットしたものが図4(b)となります。塗り広げ長 がϵ= −0.61で発散していることがわかりました。このような発散挙動が見られた時、臨界現象(注4)との関係が示唆され、実験から得られた臨界指数が0.61となりました。
このような伝播的な挙動はよく有向パーコレーション(DP)モデルで説明されることがあります。DPモデルとは、ある事象が起きた時に確率pで周囲に伝播し、1-pの確率で消滅します。一度、事象が消滅すると撹乱がない限り、再発生することがありません。また、臨界現象を示すことも特徴の一つです。流体現象の層流・乱流転移において、このDPモデルで説明することができることが知られています(参考(2))。今回の泡のスリップ・塗り広げ転移において、何らかのきっかけで起きた気泡の動きが周囲に伝播することやその伝播が収まるとスリップが続くことはDPの特徴と一致しています。さらに、塗り広げ長が発散挙動を示し、臨界指数が3次元のDPモデルの臨界指数0.58と実験値0.61とよく一致しています。これらのことから、スリップ・塗り広げ転移もDPモデルであることが強く示唆され、メカニズムが解明されました。

図1 実験概要。(a) 上からの写真。幅Lの固定されたアクリル板に向かって、基板に置いた泡を速度Uで動かす。 (b) 横からの写真。内部の構造が見えるようにアクリル板を手前側に立てている。

図2 スリップと塗り広げの境界速度は板下にある体積で決まっている。

図3 スリップ領域において、部分的な塗り広げが起こる直前の様子。赤で示された気泡が何かしらのきっかけによって動き出します。その後、赤の周囲の気泡が動き出し(青で示された気泡)、それが次々と前後に伝播し、最終的には板下から抜け出し、部分的な塗り広げになることがわかりました。

図4(a)は分的な塗り広げ長さの速度依存性。境界速度に向かって、塗り広げ長が発散的に長くなっていることがわかる。(b)横軸を無次元化した速度 ϵ= (Uc-U)/Uc で長さをプロットしたもの。塗り広げ長 ϵ= −0.61 がで発散していることがわかりました。
5.研究の意義と波及効果
今回の研究では、泡のスリップ・塗り広げ転移が板下の体積で決まること、また、DP理論で説明できることがわかりました。今回の結果は、泡がスリップしている状況において、撹乱を与えることで塗り広げに転移させられることを意味しています。つまり、コーティングしたい場所で撹乱を与え、それ以外ではスリップさせる、という制御が可能になったと言えます。泡は食料品や洗剤、化粧品、消化剤、断熱材など日常の様々な場面で用いられています。手洗いや食器の洗浄、断熱フォームのコーティングなどにおいて塗り広げられる泡の挙動を理解し、それを制御することは産業的にも重要です。本研究成果により泡沫の動力学に対する理解が発展するだけでなく、ソフトジャミング系(注5)の動力学が発展することが期待されます。さらには、産業的応用も期待できると考えています。
【用語解説】
専門用語の解説
(注1)泡:少量の液体に気泡がぎゅうぎゅうに詰まっている状態のこと。
(注2) 有向パーコレーション:ある事象が起きた時に確率pで周囲に伝播し、1-pの確率で消滅するよう な確率過程のこと。感染病のモデルに使われ、流体の臨界現象でも使われる。
(注3) 液体分率:泡の体積に対する液体の体積の割合を示すパラメータのこと。
(注4) 臨界現象:物質の状態が特定の条件下で変化する相転移するとき、比熱や磁化に異常性が現れる
現象のこと。その時の発散挙動を示すパラメータが臨界指数である。
(注5) ソフトジャミング系:柔らかい粒子が押しつぶされながら詰まっている系のこと。
【参考】
(1)都立大プレスリリース「塗り広げられる泡沫の挙動を解明 ~泡沫やエマルジョンの効率的塗布によるSDGsへの寄与が期待~」https://www.tmu.ac.jp/news/topics/35900.html
(2)M. Sano and K. Tamai, Nature Physics, 12, 249-253 (2016)
【論文情報】
“Critical-Like Behavior in Foam Dynamics: Transition from Slip to Scraping”
Masaya Endo and Rei Kurita, Physical Review Research(2025)
DOI: 10.1103/PhysRevResearch.7.023013
本プレスリリースは発表元が入力した原稿をそのまま掲載しております。また、プレスリリースへのお問い合わせは発表元に直接お願いいたします。
このプレスリリースには、報道機関向けの情報があります。
プレス会員登録を行うと、広報担当者の連絡先や、イベント・記者会見の情報など、報道機関だけに公開する情報が閲覧できるようになります。
このプレスリリースを配信した企業・団体
- 名称 東京都公立大学法人
- 所在地 東京都
- 業種 大学
- URL https://www.houjin-tmu.ac.jp/
過去に配信したプレスリリース
第31回 AIITフォーラム:暮らしの中のいいデザイン
2025/12/19
超伝導体を用いた接合の無い熱ダイオードを開発 ~1本の鉛線を曲げるだけで熱整流を実現!~
2025/12/18
AIITフォーラム:AIが社会ツールとなる時代のUXデザイン
2025/12/12
ヌクレオシドアナログ製剤に対する細胞抵抗性に関わる DNA修復因子群の包括的理解
2025/12/11
ハオラテ ボツワナ共和国副大統領兼財務大臣が 東京都立産業技術高等専門学校を視察訪問
2025/12/11
ポリエステルを化学原料に完全変換可能な高性能鉄触媒の開発
2025/11/14
高安定・高伝導を両立!イオンネットワークで描く次世代電池材料の原理
2025/11/11
私がAIITを選んだ理由 在学生・修了生インタビューをHP、YouTubeで公開
2025/11/7





